热门化工原料字母分类 A B C D E F G H I J K L M N O P Q R S T U V W X Y Z
您是否在找“聚乙烯醇缩丁醛价格”,天元化工原料厂家为您展示以下关于“聚乙烯醇缩丁醛价格”的产品及相关资讯讯息,搜索结果数为:3条,共1页
-
-
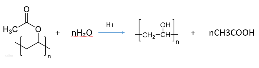
[行业动态]聚乙烯醇缩丁醛合成方程式2019年08月09日 17:57
聚乙烯醇缩丁醛(英文简称PVB)是一种白色固体颗粒,是一种人工合成高分子树脂......
阅读(501)
-
-
[广东PVB厂家]聚乙烯醇缩丁醛5秒10秒14秒意思2022年01月04日 17:33
聚乙烯醇缩丁醛5秒10秒14秒是衡量聚乙烯醇缩丁醛粘度的一个指标,可以从判断其分子量的大小。聚乙烯醇缩丁醛秒数越大,其分子量越大,粘度越高......
阅读(341)
最新资讯
- 邀请函|第十八届深圳国际电池技术...点击数:026-05-12
- 端环氧基聚丁二烯在弹性体制备中...点击数:026-03-26
- HTBN对沥青改性表现在哪些方面?点击数:026-03-26
- 硼粉如何作用到发光材料上?点击数:026-03-26
- 亚铬酸铜在钝化处理上有哪些优势...点击数:026-03-20
- 二茂铁:锂硫电池电解液中的“电...点击数:026-03-03
- 【天马逐梦,智造未来】2026年度...点击数:026-02-10
- 高氯酸铵如何控制烟花颜色?点击数:026-01-23
- 硼粉的中子吸收能力点击数:025-12-30
- HTBN-船舶防腐耐氧化的秘密武器点击数:025-12-30
马经理:186-9619-5531(产品咨询)



